Barycentre
La méthode du centre de gravité ou barycentre, permet de déterminer l’emplacement d’un centre de distribution, d’un magasin ou d’un entrepôt, qui minimisera les coûts de distribution de l’entreprise.
Eléments pour appliquer cette méthode:
- Carte précise et dessinée à l’échelle
- Emplacement des destinations
- Un système de coordonnées placé sur la carte (X,Y)
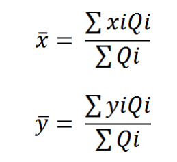
La formule est:

Où Qi = quantité à livrer à la destination i
xi =coordonnée x de la destination i
yi = coordonné y de la destination i
Application: Choix d’un entrepôt
| Entrepôt | X | Y | Quantité |
| E1 | 1,5 | 6 | 800 |
| E2 | 3 | 5 | 900 |
| E3 | 1,5 | 4,5 | 200 |
| E4 | 4 | 3 | 100 |
| E5 | 6 | 3,5 | 300 |
| E6 | 1,5 | 1 | 400 |
| E7 | 1 | 2,5 | 500 |
| Ainsi les coordonnées du centre de gravité sont approximativement (2,5 ; 4) |

